
一本極具歷史價值的中文《聖經》近日在英國拍賣會上以超過5.6萬英鎊的高價成交,引起關注。特別的是,這本1922年出版的舊聖經正是全球第一個完整的中文聖經譯本,比馬禮遜翻譯的《神天聖書》更早一年。
這本聖經由文言文譯成,在英國切爾姆斯福德一家樂施會(Oxfam)商店中被發現。據報導,兩位樂施會義工在一堆捐贈品中發現了這本破舊中文聖經,認為可能有點價值,將之送到邦瀚斯(Bonhams)拍賣行進行拍賣。起初估價僅1,000美元,但經過兩周競價,最終以56,280 英磅成交。
樂施會商店經理表示對於成交價超乎預期大吃一驚,邦瀚斯拍賣行書籍和手稿專家也指出,這本中譯《聖經》極為罕見,此前從未在拍賣會上見過同類物品。
已輕微磨損 字體偶有泛黃
邦瀚斯拍賣行對此拍賣品的描述為:「《聖經》,2卷,字體偶有泛黃,金屬活字排印;邊緣小裂口影響文字內容;書籍以中式裝訂,後經重新裝訂為近代紫色摩洛哥皮革金箔裝飾封面(未保留原紙質封面標籤),書邊鍍金,輕微磨損,八開,塞蘭坡,1815-1822年。」
拍賣行還提供了來源,似乎是一位名叫托馬斯·迪克森(Thomas Dickson)的男子的母親於1836年3月28日送給兒子的贈書,題字為「Tho. Dickson from his affectionate mother, 28th March 1836, Abbot's Reading」。
1922年印度出版 比馬禮遜譯本早一年
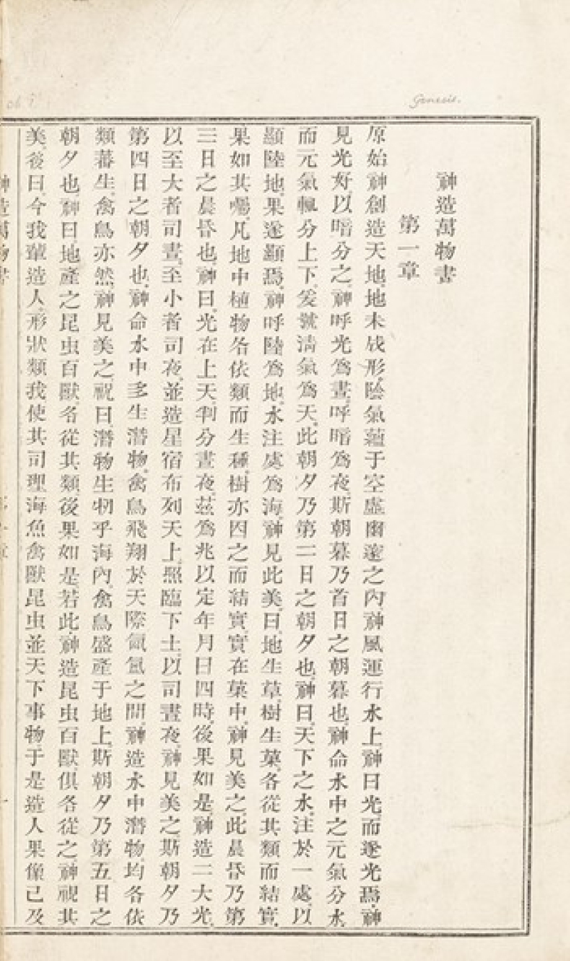
這次拍賣的《聖經》是由英國浸信會宣教士約書亞·馬士曼(Joshua Marshman)和出生於澳門的亞美尼亞人約翰·拉薩爾(John Lassar)共同翻譯完成的譯本,學者稱為「馬士曼/拉薩爾譯本」。
馬士曼在拉薩爾的協助下,以文言文翻譯聖經,於1811年譯成新約全書,1816年在印度出版,舊約全書於1822年譯成。拉薩爾先把英文聖經翻譯成中文,然後再由馬殊曼核對原文進行修改,最後交付中國人潤筆。譯本中文名爲《新舊遺詔全書》,在1822年由印度塞蘭坡(Serampore)差會出版社出版。
華人教會在2023年歡慶了由第一位來華宣教士馬禮遜翻譯的《神天聖書》出現的二百周年。(見首本在華出版中文聖經:馬禮遜《神天聖書》面世200年)。《神天聖書》(又稱「馬禮遜文理譯本」)新約部份在1813年完成,5年後與米憐共同完成舊約翻譯,但直至1823年全本聖經才在馬六甲出版。
未受中國人重視 在南洋流傳廣
聖經研究者譚樹林在一篇論文中指,馬禮遜曾一度被視為世界 上首位將《聖經》全文漢譯並予以出版的人 ,但事實上馬士曼才是。「馬士曼/拉薩爾譯本」的出版年份比《神天聖書》更早一年。
論文又指據記錄,鑑於翻譯時所處的極度不利條件,「馬士曼/拉薩爾譯本 」有很多瑕疵,且因馬士曼譯本在中國境內流傳不廣,影響力難以與馬禮遜譯本比較;但卻在南洋流傳頗廣,尤其在華僑信徒中受歡迎。此譯本對後來浸信會其他傳教士的聖經中譯本產生重要影響。

「馬士曼/拉薩爾譯本」創世紀一章。(圖:Bonhams)





